Banner 1
当前位置: 学院首页 >> 通知公告 >> 正文

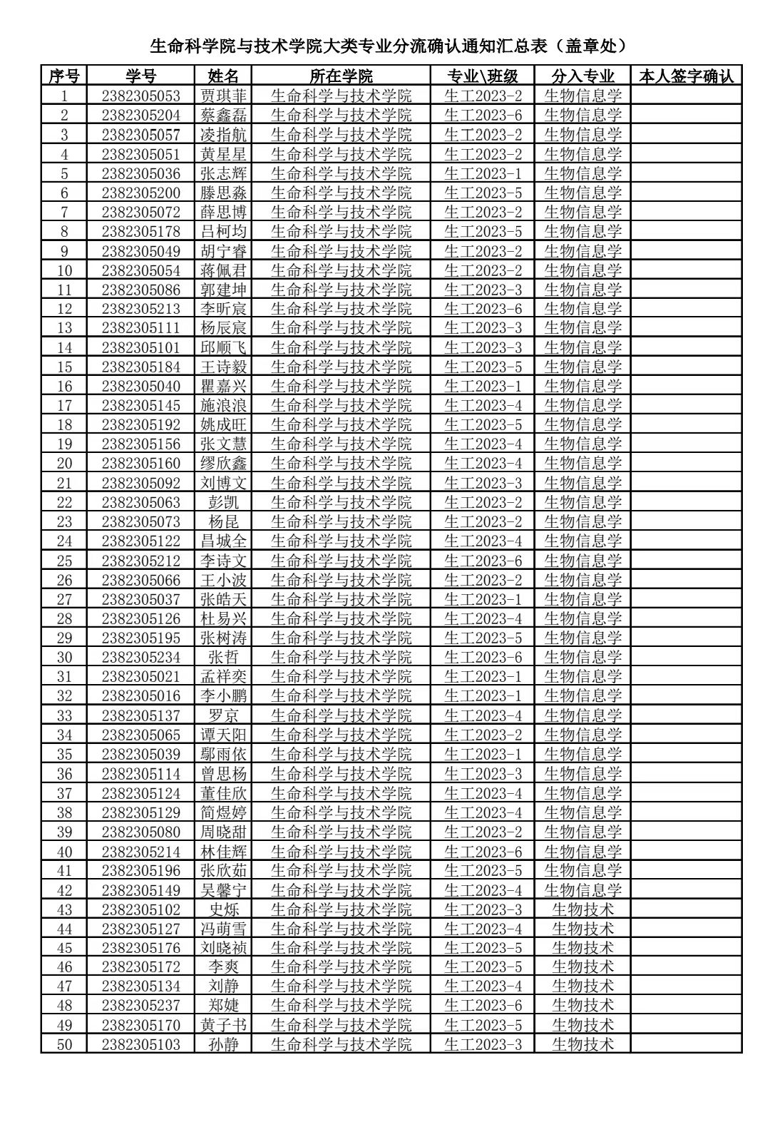
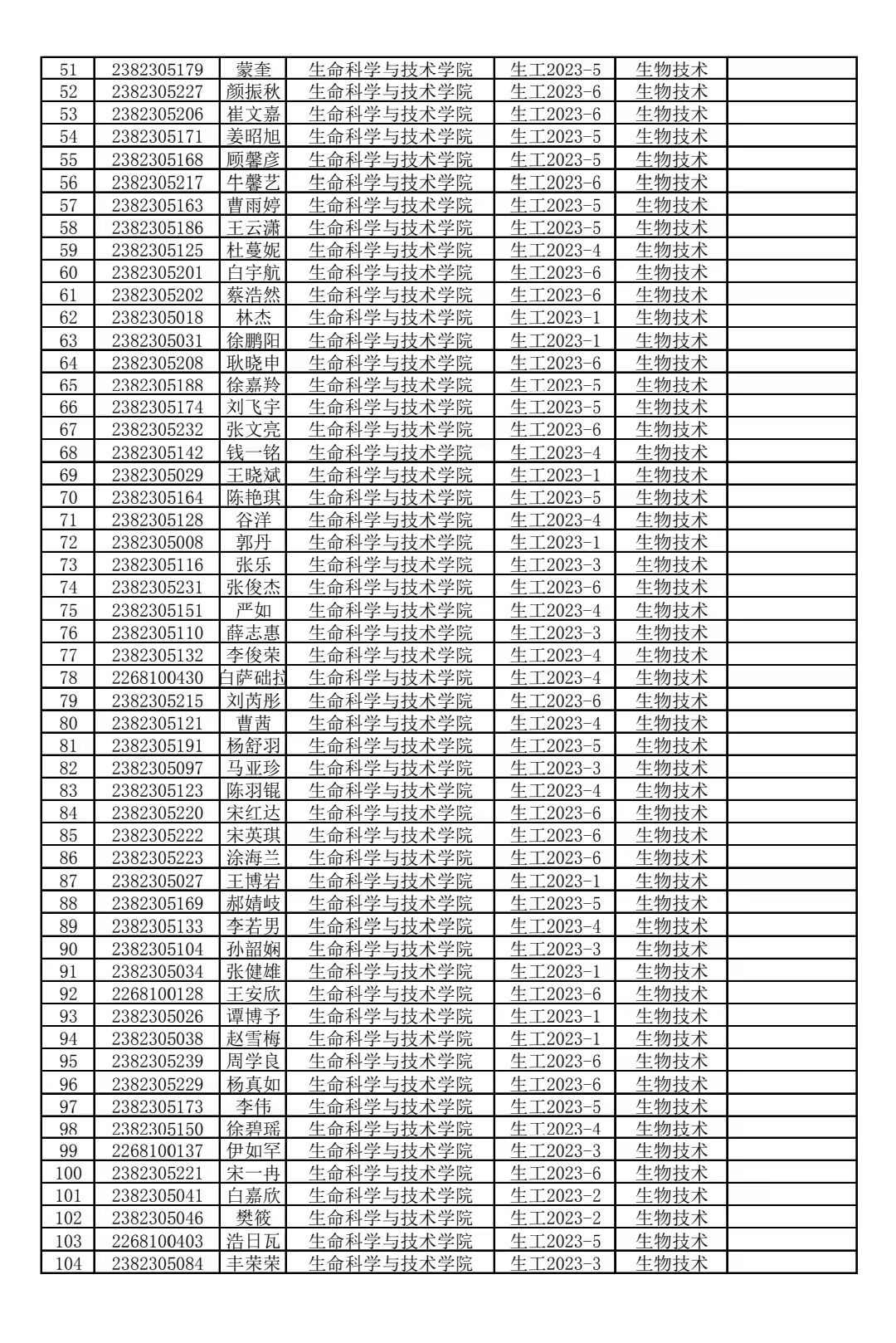
beat365唯一官方网站2023级生物工程类专业分流结果公示

发布日期:2024-04-23 09:36浏览次数:

beat365唯一官方网站2023级生物工程类专业分流结果公示


根据《beat365唯一官方网站beat365唯一官方网站生物工程类专业分流实施细则》及学生本人专业分流网报名与确认,经学院专业分流工作领导小组决定,将2023级生物工程类学生专业分流结果予以公示(详见附件1),公示时间为2024年4月23日-4月27日,公示期五天。如有异议,请在公示期内反映至学院教学办,办公电话0472-5951944。


                                                                                beat365唯一官方网站

                                                                                  2024423


上一条:2023-2024学年beat365唯一官方网站转入专业学生考核结果公示
下一条:beat365唯一官方网站2024年转专业实施细则

关闭